导读:
近日,南开大学的周其林与肖力军课题组在J. Am. Chem. Soc.中发表论文,报道一种全新的镍催化苯乙烯及其衍生物与醛亚胺的直接不对称加成反应。其中,该反应利用基于四甲基-1,1′-螺二氢茚骨架新开发的一系列富电子、C2-对称手性螺环单膦配体实现。此外,该方法在温和条件下高效、原子经济地构建手性烯丙胺类化合物,具有优异的区域选择性和对映选择性,并展现出广泛的官能团耐受性。
Nickel-Catalyzed Enantioselective Direct Addition of Styrenes to Imines Enabled by Chiral Spiro Phosphine Ligands
Y. Huang, T. Zhang, S. Cheng, Q. Zhou, L. Xiao, J. Am. Chem. Soc. 2025, ASAP. doi: 10.1021/jacs.5c11639.

正文:
手性烯丙胺骨架广泛存在于各类天然产物、农用化学品和药物分子等中,同时其也作为有机合成中的多功能砌块。因此,开发通用且高效的手性烯丙胺对映选择性合成方法已成为合成化学的重要研究方向。其中,由于合成效率与成本的优势,烯基亲核试剂与亚胺直接不对称加成构建碳-碳键的方法备受关注,并已取得了一定的进展[1]。然而,将苯乙烯类等廉价易得的烯烃不对称加成到亚胺上,仍具有挑战。2015年,Jia团队报道了一种Lewis酸催化苯乙烯与高活性环状ketiminoesters的不对称加成反应,合成了手性烯丙基胺类化合物[2](Scheme 1A)。2018年,周其林团队开发了一种镍催化苯乙烯与醛亚胺的直接加成反应,该反应关键依赖于富电子的单膦配体,例如三环己基膦[3](Scheme 1B)。这些配体能够提升镍(0)中心的电子密度,从而促进必需的氧化环化过程。尽管可合理地预测手性富电子单膦配体可实现相应的对映选择性转化,但迄今为止此类配体的可用种类依然有限。因此,通过此途径实现苯乙烯衍生物与亚胺的高度对映选择性直接加成反应,仍是一个未解决的难题。近日,南开大学的周其林与肖力军课题组报道一种全新的镍催化苯乙烯及其衍生物与醛亚胺的直接不对称加成反应,合成了一系列手性烯丙胺类化合物,涉及新型手性螺环膦配体(源于四甲基-1,1′-螺二氢茚骨架)使用,具有优异的对映选择性和区域选择性、高原子经济性、优异的官能团耐受性等特点(Scheme 1C)。

首先,作者以四甲基-1,1′-螺二氢茚-7,7′-二甲醛(R)-S1为起始底物,进行了八种手性螺单膦配体的合成(Scheme 2)。采用Tf2O对(R)-S1进行酯化,并通过连续Suzuki偶联反应在四甲基螺二氢茚骨架的6,6′-位引入不同芳基取代基,得到中间体(R)-S2。随后,采用NaBH4还原并采用SOCl2进行氯化,得到中间体(R)-S3。最后,与相应的烷基取代二氢膦发生环化反应,经硼烷保护及后续脱保护步骤,成功制备螺环单膦配体L1–L8。

其次,作者采用苯乙烯1a与亚胺衍生物2a作为模型底物,进行相关反应条件的优化筛选 (Table 1)。进而确定最佳的反应条件为:采用Ni(COD)2作为催化剂,L4作为手性配体,PhOH作为Brønsted酸,在己烷反应溶剂中,反应温度为60 oC,最终获得94%分离收率的产物3a(91% ee)。

在上述的最佳反应条件下,作者对一系列烯烃的底物范围进行了扩展(Scheme 3)。首先,一系列不同电性取代的芳基烯烃,均可与2a顺利进行反应,获得相应的产物3a–3n,收率为24-97%,ee为84-94%。其中,一系列活性的基团,如卤素、羟基、硼基等,均与体系兼容。其次,含有杂芳基或稠合芳基取代的烯烃,也能够顺利进行反应,获得相应的产物3o–3v,收率为27-81%,ee为80-94%。值得注意的是,该策略也可用于生物活性分子的后期衍生化,可以33%的收率得到产物3w,ee为91%。此外,在优化的条件下,3-三甲基甲硅烷基-1-丙烯,也是合适的底物,可以53%的收率得到产物3x,ee为71%。

同时,作者还对亚胺的底物范围进行了扩展(Scheme 4)。首先,当亚胺底物中的R2为不同电性取代的芳基时,均可与1a顺利进行反应,获得相应的产物4a–4l,收率为21-85%,ee为83-92%。其次,当亚胺底物中的R2为二茂铁基、吡啶基和环已基时,也能够进行反应,获得相应的产物4m–4o,收率为22-46%,ee为81-95%。此外,当亚胺底物中的R3为-Ts、-Fmoc、-Boc和-Teoc时,也与体系兼容,获得相应的产物4p–4u,收率为25-64%,ee为36-88%。

紧接着,作者对反应的实用性进行了研究(Scheme 5)。首先,1a和2a的放大规模实验,同样可以78%的收率和91%ee得到产物3a。其次,3a可进行多种衍生化。例如,3a经Pd/C-催化氢化反应可获得手性胺基化合物5(收率为92%)。3a经烯烃复分解反应可获得氨基肉桂酸酯化合物6(收率为68%)。3a中的胺基经Boc保护后,可生成中间体8(收率为92%),其在K2CO3条件下可选择性的脱除Cbz,生成N-Boc烯丙基胺化合物4t(收率为90%)。同时,中间体8在m-CPBA条件下可进行环氧化反应,生成环氧化物9(收率为71%)。值得注意的是,在上述的过程中,对映选择性几乎不受影响。

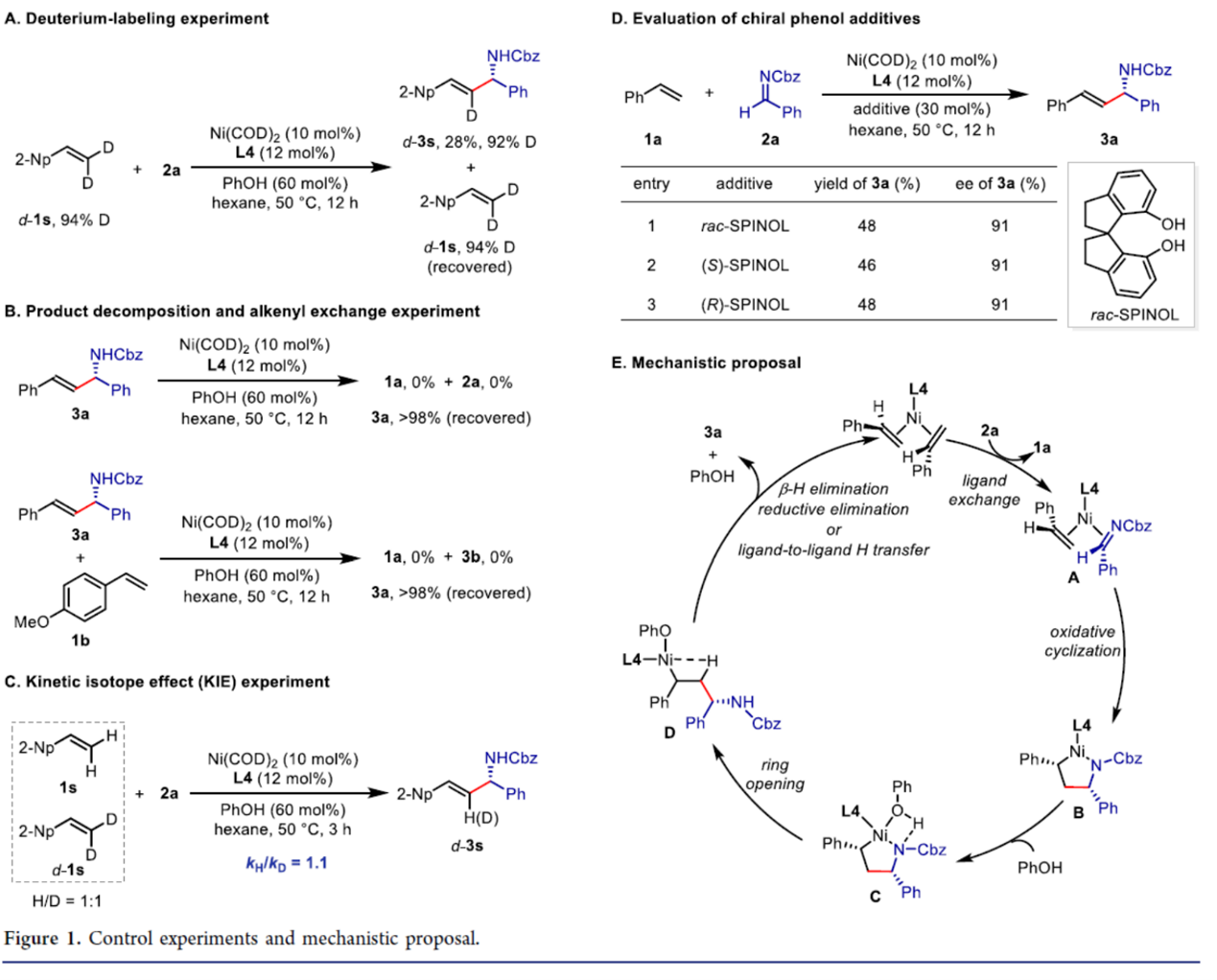
随后,作者对反应的机理进行了研究(Figure 1)。首先,氘代实验结果表明,氮杂镍环的形成与β-氢消除可能为不可逆过程(Figure 1A)。同时,在标准条件下,未观察到产物3a的分解,也未检测到其烯基交换现象,从而进一步证明了上述的结果(Figure 1B)。其次,KIE实验结果表明,β-氢消除不太可能是决速步骤(Figure 1C)。此外,通过评估各种手性酚作为添加剂的实验结果表明,与苯酚相关的氮杂镍环的开环步骤不太可能涉及手性诱导(Figure 1D)。基于上述的实验研究以及前期相关的文献报道[4],作者提出如下合理的反应机理(Figure 1E)。首先,由镍催化剂A与底物1a和2a配位形成手性镍配合物B,其经决定对映选择性与区域选择性的氧化环化反应,生成氮杂镍环中间体C。随后,中间体C在与苯酚作用下进行开环反应,继之以β-氢消除以及还原消除或通过中间体C–D进行的配体-配体间氢转移,最终再生出零价镍催化剂并得到产物3a。

为深入理解新开发的手性螺环膦配体的作用机理及手性诱导起源,作者进行了密度泛函理论(DFT)计算(Figure 2)。对含配体L4的镍配合物进行的DFT初步优化显示,其具有由深手性口袋构成的独特空间环境(Figure 2A)。基于DFT计算提出的手性诱导模型表明,对映选择性由氧化环化步骤决定(Figure 2B)。该阶段中,由于亚胺苯基与配体1,3-二甲基苯基间的空间排斥作用,通过过渡态TS1形成了空间位阻更优的氮杂镍杂环中间体。

总结:
南开大学的周其林与肖力军课题组首次报道了一种苯乙烯及其衍生物与醛亚胺的催化对映选择性直接加成反应,该反应通过手性6,6′-二取代螺二氢茚单膦配体与镍(0)催化剂的协同作用实现。该方法无需使用烯基金属试剂,可直接以苯乙烯类化合物为原料高效合成多种手性烯丙胺类化合物,具有优异的对映选择性。该反应展现出广泛的官能团兼容性,可适用于多种芳基烯烃与醛亚胺底物。
参考文献:
- [1] E. Ortiz, J. Shezaf, Y. H. Chang, M. J. Krische, ACS Catal. 2022, 12, 8164. doi:10.1021/acscatal.2c02444.
- [2] R. Liu, D. Wang, L. Wu, B. Xiang, G. Zhang, J. Gao, Y. Jia, ACS Catal. 2015, 5, 6524. doi:10.1021/acscatal.5b01793.
- [3] L. Xiao, C. Zhao, L. Cheng, B. Feng, W. Feng, J. Xie, X. Xu, Q. Zhou, Angew. Chem., Int. Ed. 2018, 57, 3396. doi:10.1002/anie.201713333.
- [4] C. Fan, X. Lv, L. Xiao, J. Xie, Q. Zhou, J. Am. Chem. Soc. 2019, 141, 2889. doi: 10.1021/jacs.8b13251.
本文版权属于 Chem-Station化学空间, 欢迎点击按钮分享,未经许可,谢绝转载.
关注Chem-Station抖音号:79473891841
请登陆TCI试剂官网查看更多内容
https://www.tcichemicals.com/CN/zh/


































No comments yet.