作者:石油醚
引言
过去20年,蛋白水解靶向嵌合体(PROTAC)已成为靶向蛋白降解(TPD)领域的主流分子。其作用机制见Figure 1:PROTAC为双功能分子,由靶蛋白配体、E3连接酶配体及连接子组成,可拉近二者距离,诱导靶蛋白泛素化
并被蛋白酶体降解。相比传统小分子抑制剂,PROTAC能彻底清除致病蛋白,同时抑制其催化与非催化(支架)功能,并有望靶向“不可成药”靶点;相比基因疗法,PROTAC还具备口服可用、组织穿透性强及催化性(即“事件驱动型”)作用等优势。

Figure 1. General mechanism for E3 ligase proteasomal degradation of a targeted protein using a PROTAC
Vepdegestrant(1,Figure 2)是一种强效、高选择性、口服有效的PROTAC降解剂,靶向雌激素受体(ER),用于治疗ER+/HER2−乳腺癌。其西半部分源自lasofoxifene,结合ER;东半部分基于来lenalidomide结构,靶向E3连接酶cereblon。
Vepdegestrant:前世今生
Vepdegestrant(1)是由Arvinas公司与辉瑞(Pfizer)联合开发的一款口服蛋白降解靶向嵌合体(PROTAC)药物,主要用于治疗携带ESR1突变的雌激素受体阳性(ER+)、人表皮生长因子受体2阴性(HER2-)的晚期或转移性乳腺癌患者。其中,2013年由Arvinas公司优先选择成熟的雌激素受体(ER)为靶点,启动了ARV-471项目。直到2023年,2021年7月:Arvinas与辉瑞达成全球合作,共同开发和商业化Vepdegestrant,双方分摊开发成本、商业化费用和利润。目前,该药已完成局部晚期或转移性ER+/HER2−乳腺癌的III期临床试验,并于2025年6月,Arvinas和辉瑞向美国FDA提交Vepdegestrant的新药上市申请(NDA)。若其于2026年6月获批上期,Vepdegestrant(1)将成为全球首款上市的小分子PROTAC药物。

Figure 2. Key reductive amination in the convergent synthesis of vepdegestrant.
Vepdegestrant(1)的商业化工艺
Vepdegestrant(1)可通过关键还原胺化反应,由两个片段汇聚合成(Figure 2):西边片段是一种醛,具有ER binder的特征,而东边的片段 II 是一种哌嗪,含有 E3 连接酶 cereblon 结合剂。该策略优势显著:(1)路线高效;(2)片段可独立优化设计;(3)多片段并行合成,大幅缩短整体耗时。
基于切分策略,辉瑞的科学家经过设计及优化开发了Vepdegestrant(1)的商业化工艺。
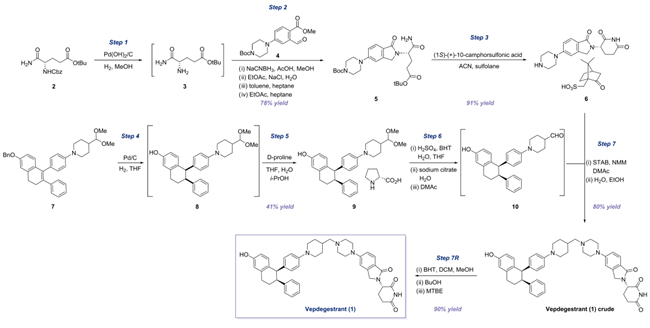
即1)东部片段II合成:市售Cbz-保护异谷氨酰酯2为原料,经过氢解脱除Cbz(step 1),所得胺3与醛4经一锅还原胺化直接得内酰胺5(step 2)。5经(1S)-10-樟脑磺酸(CSA)处理,同步脱除Boc/叔丁酯并环化,以CSA盐形式获得哌啶二酮6(step 3);2)西部片段I的合成:
前体四取代烯烃7氢化获得外消旋体8(step 4),再以D-脯氨酸拆分得到手性缩醛9的共晶;9经硫酸酸解直接转化为醛10(step 6)。最后,6与10经还原胺化、乙醇/水结晶得粗品1(step 7),再经DCM/MeOH/1-BuOH重结晶,获得高化学纯度、高对映体及非对映体纯度的Vepdegestrant(1)(step 7R)。

Figure 3. Manufacturing Route of Vepdegestrant (1)
本文版权属于 Chem-Station化学空间, 欢迎点击按钮分享,未经许可,谢绝转载.
关注Chem-Station抖音号:79473891841
请登陆TCI试剂官网查看更多内容
https://www.tcichemicals.com/CN/zh/


































No comments yet.