作者:杉杉
导读:
近日,南开大学的仇友爱课题组在J. Am. Chem. Soc.中发表论文,报道一种全新的HFIP辅助的电化学氧化羟基化反应,其采用绿色环保的H2O作为羟基源,可直接活化苄位C−H键。该方法具有出色的底物兼容性,包括富电子/中性/缺电子烷基芳烃、含一级/二级/三级苄位C−H键的烷基芳烃以及相关的药物分子。值得关注的是,该策略还可实现18O-标记生物活性衍生物的高效合成,彰显了其在同位素标记研究中的重要价值。此外,该电化学策略具备优异的规模化潜力,为工业级应用提供了广阔前景。机理研究表明,苄醇可通过HFIP的氢键相互作用得以稳定,该过程可降低芳香环的电子密度,从而抑制其进一步氧化,并提升了反应的选择性。
Electrochemical Direct Hydroxylation of Benzylic C−H Bonds Assisted by HFIP
C. Zhang, H. Tang, X. Zhao, X. Shen, Y. Qiu J. Am. Chem. Soc. 2025, ASAP. doi: 10.1021/jacs.5c08109.

正文:
苄基醇骨架广泛存在于天然产物、药物及化工领域。苄基醇衍生物的典型合成方法包括苄基卤代物的水解、芳基酮的亲核取代、烯烃的水合反应,以及芳基酮、酸或酯的还原反应。通常,这些传统方法需要预官能团化的操作。鉴于所需原料的普及性以及相关策略的原子经济性,苄位C−H键的氧化羟基化反应是制备醇类化合物的高效策略,但仍存在诸多挑战。虽然化学家们开发了一系列酶催化、金属催化和光催化的苄位C−H键的氧化羟基化反应,但常需使用化学计量的爆炸性氧化试剂、昂贵的高价碘试剂或贵金属催化剂。因此,仍需开发一种更为绿色且可持续的方法。
近年来,电化学合成技术已成为有机合成领域的一项可持续技术。该技术以电子作为传统化学氧化剂或还原剂的绿色替代品,从而避免产生化学计量废物。目前,化学家们已开发多种电化学苄位C−H键的氧化反应,但主要生成过氧化产物[1]。与此形成鲜明对比的是,苄位C-H键与醇的直接羟基化仍然难以捉摸(Figure 1a)。Stahl课题组开发了一种两步法的电化学氧化策略[2],利用化学计量的N-羟基邻苯二甲酰亚胺(NHPI)同时作为氢原子转移试剂和氧源(Figure 1b, top)。反应生成的苄基氮氧化物,可在铱光催化剂作用下进一步还原为苄醇。Xu团队开发了另一种两步电化学氧化方法,即使用CF3CO2H作为氧源合成三氟乙酸酯,然后进行水解,得到相应的苄醇[3](Figure 1b, bottom)。尽管上述两步法已取得显著进展,但对于开发直接且原子经济的电化学氧化策略仍迫切需求,即利用H2O作为羟基源,通过选择性苄位C-H键氧化羟基化反应,实现兼具高化学选择性与位点选择性的苄醇合成。此外,18O标记的分子在生化研究、医学成像、质谱示踪研究和生理代谢过程研究领域发挥着关键作用,但高昂的生产成本限制了广泛的可及性。因此,若能使用方便易得的H218O作为18O源,具有重要的研究价值。近日,南开大学的仇友爱课题组报道一种全新的HFIP辅助的电化学氧化羟基化反应,其采用绿色环保的H2O作为羟基源,可直接活化苄位C−H键(Figure 1c)。
首先,作者采用正辛基苯1a作为模型底物,进行相关反应条件的优化筛选 (Table 1)。进而确定最佳的反应条件为:采用H2O作为羟基源,石墨毡(GF, graphite felt)作为阳极,泡沫镍作为阴极,LiClO4作为电解质,电流密度为5 mA/cm2,在HFIP反应溶剂中,反应温度为室温,最终获得80%分离收率的产物1b。
在上述的最佳反应条件下,作者对一系列底物的应用范围进行深入研究(Figure 2)。首先,烷基取代芳烃(1b−4b)、不同电性取代的烷基芳烃(5b−9b)以及含有卤素取代的烷基芳烃(10b−12b),均可顺利进行反应,具有良好的选择性。同时,含有五元环及六元环的烷基芳烃,也是合适的底物,如13b−16b。其次,烷基芳烃中的烷基链上含有卤素、苯基、异丙基与烷氧羰基时,可以高选择性获得相应的醇产物17b−22b。芳基上含有卤素与甲氧基取代的二苯甲烷衍生物,也可以良好的收率得到相应的醇产物23b−27b。萘和杂芳烃的苄位C-H键,也可以高选择性地转化成相应的产物28b和29b。除了二级醇外,该策略还能够以中等至良好的收率获得三级醇(30b−36b)和一级苄醇(37b)。值得注意的是,这种电化学合成策略对具有两个苄基位点的化合物的转化也具有很高的位点选择性。羟基化反应仅在酰胺底物38a的对位发生,展现出高氧化选择性。这种优异的区域选择性可归因于芳香环上取代基施加的电子效应。氧化选择性地发生于甲基位点而非苯甲酰氧基取代的苄位(39b)。对于不同芳环上存在两个苄位点的化合物,氧化反应均发生在富电子位点,生成醇类产物(40b–42b)。当存在苄位与邻位氧原子竞争时,苄位C-H键可顺利被氧化(43b)。对于底物44a,羟基化发生在甲基位点而非异丙基取代的苄位C-H键,表明该电化学策略对空间位阻敏感。此外,底物45a选择性生成二级醇4-甲基二苯甲醇,而非一级醇产物。
之后,作者对反应的实用性进行了研究(Figure 3)。首先,该策略可用于天然产物、药物及其衍生物的后期修饰,获得相应的产物46b−61b,收率为40-96%。其次,54a的克级规模实验,同样可以83%的收率得到产物54b,进一步突显了这种电化学方法的可行性。
同时,作者发现,当使用H218O作为18O源,苄位C-H键氧化方法也成功应用于18O标记的羟基化产物的合成(Figure 4)。首先,辛基苯和1-溴-3-苯基丙烷分别以63%和54%的产率得到18O标记醇产物(1e和2e)。其次,利用该策略可以中等至良好的产率和选择性合成了生物相关衍生物的18O标记羟基化产物,包括脂溶性维生素(3e)、丙磺舒(4e)和非布司他(5e)。此外,在这一过程中,天然产物和药物,包括萨利麝香、布洛芬酯和视黄酸受体激动剂衍生物,成功转化为18O标记的产物(6e–8e)。其中,所有底物的18O标记率均超过95%。
接下来,作者对上述羟基化过程的反应机理进行进一步研究 (Figure 5)。首先,CV实验结果表明,在HFIP溶剂中,烷基芳烃优先于苄醇发生氧化,从而显著降低了醇的过度氧化。同时,烷基芳烃在HFIP中的氧化比在MeCN中更易进行且效率更高(Figure 5a)。其次,NMR实验结果表明,2b和HFIP之间存在明显的氢键相互作用。同时,由于氢键相互作用,在HFIP存在下,化合物2b芳香环中的电子密度降低(Figure 5b)。因此,这种效应使苄醇更难氧化,这与CV实验的结果一致。自由基捕获实验结果表明,苄位C−H键是通过芳烃自由基阳离子中间体的逐步电子-质子转移过程断裂的(Figure 5c)。KIE实验结果表明,C-H键断裂不是速率决定步骤,而底物的氧化作为速率决定步骤(Figure 5d)。
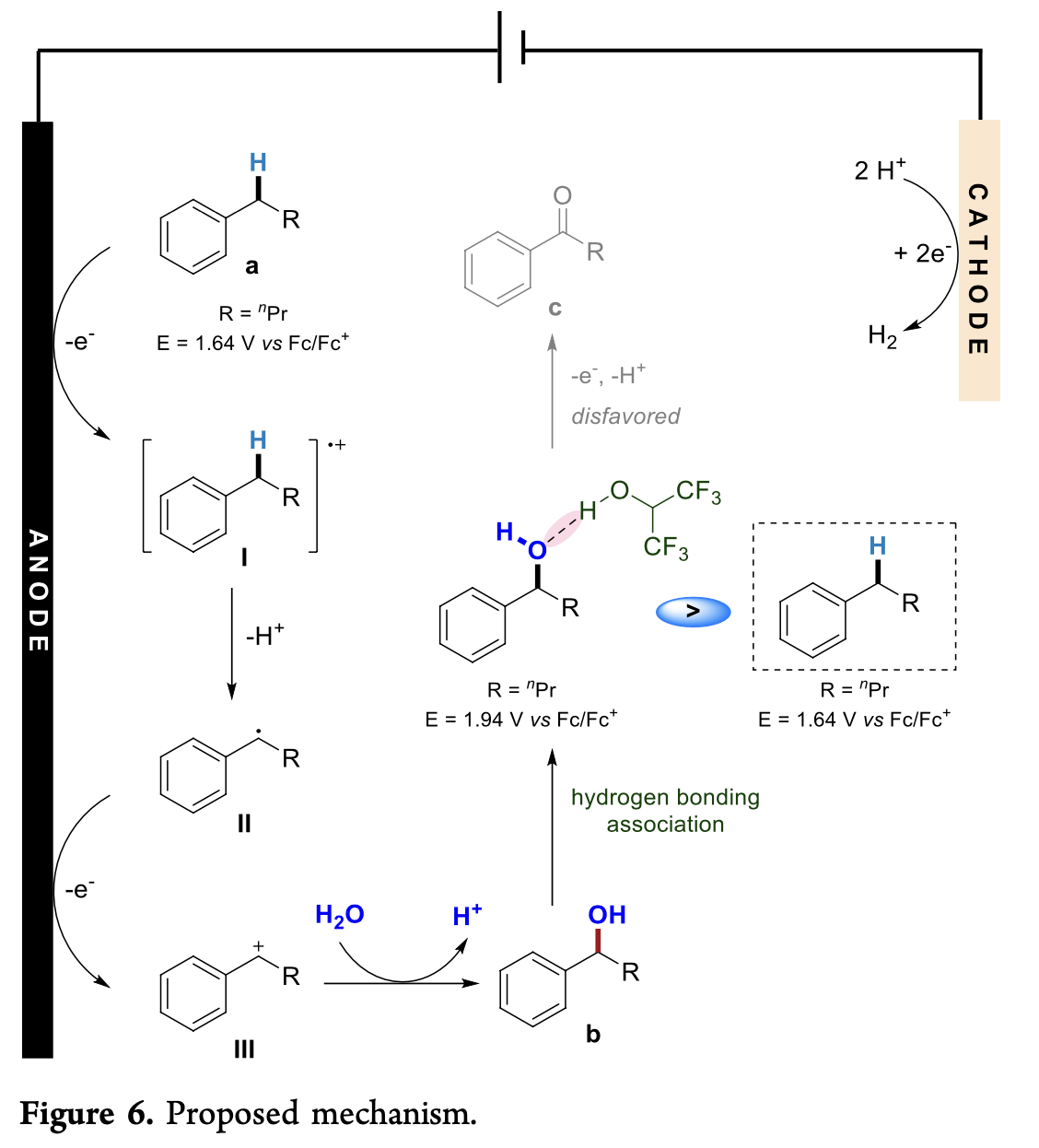
基于上述的实验研究以及前期相关的文献报道[4],作者提出如下合理的反应机理(Figure 6)。首先,烷基芳烃(a)通过失去一个电子被氧化,形成强酸性的自由基阳离子中间体I。其次,苄位C−H键通过逐步发生的质子-电子转移过程断裂,生成苄基碳正离子III。随后,苄基碳正离子III与水反应生成目标醇产物(b)。此外,在HFIP溶剂中,苄醇类化合物通过氢键相互作用与HFIP结合。该作用导致烷基芳烃与苄醇之间出现显著的氧化电位差,从而显著抑制了过度氧化生成酮类副产物的过程。与此同时,阴极发生析氢反应(HER)。
总结:
南开大学的仇友爱课题组开发出一种高效合成苄醇类化合物的电化学氧化新方法,涉及采用绿色环保的H2O作为羟基源,可直接活化苄位C−H键,具有优异的化学选择性与位点选择性。同时,该策略具有反应条件温和、底物范围广泛、官能团兼容性高等特点。其次,通过对相关药物分子与天然产物的后期衍生化以及18O-标记生物活性衍生物的高效合成,进一步证明了反应的实用性。机理研究表明,苄醇类化合物可与HFIP形成氢键相互作用,该作用会降低芳环的电子密度。这种效应导致烷基芳烃与苄醇之间产生显著的氧化电位差,从而有效阻止过度氧化过程并提升反应的整体选择性。
参考文献:
- [1] Z. Zhang, Y. Lv, L. Ji, P. Chen, S. Han, Y. Zhu, L. Li, Z. Jia, T. P. Loh, Angew. Chem., Int. Ed. 2024, 63, No. e202406588. doi:10.1002/anie.202406588.
- [2] M. A. Hoque, J. Twilton, J. Zhu, M. D. Graaf, K. C. Harper, E. Tuca, G. A. DiLabio, S. S. Stahl, J. Am. Chem. Soc. 2022, 144, 15295. doi:10.1021/jacs.2c05974.
- [3] T. Chen, H. Long, Y. Gao, H. Xu, Angew. Chem., Int. Ed. 2023, 62, No. e202310138. doi: 10.1002/anie.202310138.
- [4] S. Sisti, M. Galeotti, F. Scarchilli, M. Salamone, M. Costas, M. Bietti, J. Am. Chem. Soc. 2023, 145, 22086. doi:10.1021/jacs.3c07658.
本文版权属于 Chem-Station化学空间, 欢迎点击按钮分享,未经许可,谢绝转载.
关注Chem-Station抖音号:79473891841


































No comments yet.