引言
葡萄酒作为一种历史悠久且文化底蕴深厚的酒类饮品,其独特风味和香气特征长期以来吸引了国内外学者和消费者的广泛关注。葡萄酒风味的复杂性来源于多种挥发性和非挥发性化合物的共同作用,[1]其中具有极低嗅觉阈值的关键香气化合物尤为重要,这类化合物通常以痕量形式存在,却能对葡萄酒的整体感官特征产生决定性影响。其中的典型代表是葡萄酒内酯,它呈现出椰子、木质和甜香调,具有增强果香与甜感的作用,是葡萄酒中重要的香气成分之一。

图1 葡萄酒中的常见香味物质
葡萄酒内酯的发现
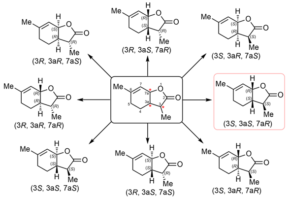
有趣的是,葡萄酒内酯起初并不是从葡萄或葡萄酒中发现的,它最早是在树袋熊(考拉)的尿液中被作为精油代谢产物发现的。[2]数十年后,德国化学家Helmut Guth从葡萄酒中发现了这一香气分子并将其命名为葡萄酒内酯(wine lactone)。不难发现,葡萄酒内酯分子中存在三个手性中心,因此理论上存在23 = 8种立体异构体。为了确定其真实结构,Helmut Guth设计并合成了包含所有异构体的混合物,随后借助手性气相色谱技术将所有异构体逐一分离,进而确定了葡萄酒中普遍存在的嗅觉阈值最低、香气效力最强的异构体是(3S, 3aS, 7aR)。此外,他还发现这些不同异构体在气味阈值(人类能够察觉到气味的最低浓度)上也表现出显著差异,例如(3S, 3aS, 7aR)异构体在空气中的浓度仅为0.00001~0.00004 ng/L时就可以被感知到,而(3R, 3aR, 7aS)和(3R, 3aS, 7aR)异构体则需要在高于1000 ng/L的浓度下才能被感知。[3]

图2 葡萄酒内酯的所有立体异构体
葡萄酒内酯的化学合成
前文已经提到,为了验证葡萄酒内酯的结构并深入理解其立体化学与香气特性,Helmut Guth率先开展了针对葡萄酒内酯的化学合成研究。他以3-甲基-2-环己烯-1-酮(1)作为起始原料,在强碱LDA作用下对其羰基α-位去质子,然后再与2-碘丙酸甲酯(2)发生亲核取代反应,从而构建葡萄酒内酯的核心碳骨架。随后通过NaBH4还原、酯水解与酸化步骤可以获得含有羧基和羟基的环化前体5。最后在缩合剂DCC作用下发生分子内酯化反应,成功合成了葡萄酒内酯的八种立体异构体混合物。[3]该研究首次从化学角度揭示了葡萄酒内酯的立体选择性与香气特性,为其作为关键香气分子的研究提供了坚实证据。

图3 Helmut Guth合成葡萄酒内酯的路线
虽然Helmut Guth首次报道了葡萄酒内酯的化学合成,为该分子的结构确认与异构体分离打下了基础,但他的方法只能获得立体异构体的混合物。为了解决这一局限,后续多位学者开展了针对葡萄酒内酯立体选择性合成的研究,以便直接制备与天然产物构型一致且高对映纯度的异构体。其中的代表性工作由Chavan等人在2001年报道,他们的核心步骤是利用FeCl3/NaI介导的碘内酯化反应(Iodolactonization)直接将γ, δ-不饱和酸转化为具有目标相对构型的内酯骨架,随后在碱性条件下消去卤素得到环内双键结构,进而生成高对映纯的目标产物。[4]具体说来,他们以天然的(+)-异柠檬烯A为起始原料,首先对双键进行硼氢化-氧化反应得到等比例混合的非对映异构体B,随后利用Jones试剂将醇转化为羧酸中间体C,接下来利用他们发展的碘内酯化反应高效构建了核心的内酯结构,以59%的产率生成60:40的非对映异构体D和E。幸运的是,两种非对映异构体可以通过普通柱色谱进行分离。最后,在DBU的作用下消去卤素就可以得到与天然葡萄酒内酯立体结构相同的产物。

图4 葡萄酒内酯的立体选择性合成
葡萄酒内酯的生物合成
虽然化学家早已通过化学方法在实验室中实现了葡萄酒内酯的合成,然而它在自然界中的生物合成机制研究仍然不够成熟,目前仅有一些重要的假说和初步证据。其中最具代表性的假说由Navrot和Duchêne等人在2017年所提出。[5]他们在葡萄果实中鉴定出一种细胞色素P450酶CYP76F14,它能够将常见的单萜类代谢物芳樟醇(linalool)氧化生成(E)-8-羧基芳樟醇(8-carboxylinalool)。更深入的化学和动力学研究表明,在葡萄酒酿造及陈酿过程中,(E)-8-羧基芳樟醇可在酸性条件下通过非酶促的内酯化环化反应缓慢转化为葡萄酒内酯的主要天然异构体(3S, 3aS, 7aR)。基于上述实验结果,作者提出了葡萄酒内酯可能的生成路径:首先在葡萄果实发育阶段由CYP76F14经多步催化过程逐渐形成前体(E)-8-羧基芳樟醇,随后在酿造与储藏阶段通过化学驱动的酸催化环化步骤缓慢生成最终香气分子。尽管这一路径目前尚未在酶促水平上得到完全验证,但它为解释葡萄酒内酯在自然界中的来源提供了坚实的分子基础,也为理解不同葡萄品种和酒体风味差异提供了新的研究思路。

图5 葡萄酒内酯可能的生物合成路径
结束语
葡萄酒内酯作为葡萄酒中极具代表性的关键香气化合物,其独特的嗅觉特性和极低的感知阈值使其在决定葡萄酒整体风味上发挥了不可替代的作用。从最初在非葡萄来源中被偶然发现,到通过全合成与手性拆分确证其结构,再到后续研究者不断优化立体选择性合成策略,人们对这一分子的化学理解已逐渐清晰。与此同时,近年来关于葡萄酒内酯在葡萄中的生物合成路径的探索为揭示其天然来源提供了分子层面的解释。然而,目前关于其生物合成的酶学证据仍然有限,且其在不同葡萄品种、栽培条件及酿造工艺中的动态变化尚未完全厘清。值得期待的是,未来通过化学合成与生物合成研究的双向推动,葡萄酒内酯有望在提升葡萄酒品质控制和风味调配以及香料化学等方面发挥重要作用。
参考资料
- [1] 王方, 王树生. 葡萄酒中的香味物质的来源. 中外葡萄与葡萄酒, 2005, 5, 50–51.
- [2] Southwell, I. A. Essential oil metabolism in the Koala. III. Novel urinary monoterpenoid lactones. Tetrahedron Lett. 1975, 24, 1885–1888 DOI: 1016/S0040-4039(00)72311-2
- [3] Guth, H. Determination of the configuration of wine lactone. Chim. Acta 1996, 79, 1559−1571. DOI: 10.1002/hlca.19960790606
- [4] Chavan, S. P.; Kharul, R. K.; Sharma, A. K.; Chavan, S. P. An efficient and simple synthesis of (−)-wine lactone. Tetrahedron: Asymmetry 2001, 12, 2985–2988. DOI: 1016/S0957-4166(01)00511-0
- [5] Ilc, T.; Halter, D.; Miesch, L.; Lauvoisard, F.; Kriegshauser, L.; Ilg, A.; Baltenweck, R.; Hugueney, P.; Werck-Reichhart, D.; Duchêne, E.; Navrot, N. A grapevine cytochrome P450 generates the precursor of wine lactone, a key odorant in wine. New Phytol. 2017, 213, 264−274. DOI: 1111/nph.14139


































No comments yet.